 |
| মডেল অ্যাক্টিভিটি টাস্ক |
সুপ্রিয় শিক্ষার্থীরা, আশা করি তোমরা ভালো আছো। আমাদের Digital Porasona-র Online Platform-এ তোমাদের সকলকে সাদর আমন্রণ।এখানে তোমরা পাবে নার্সারি থেকে দ্বাদশ শ্রেণী পর্যন্ত বিষয়ভিত্তিক পাঠ্য ও অনুশীলনীর সহজ ও বোধগম্য ব্যাখ্যা।
তাছাড়া English Grammar এবং বাংলা ব্যাকরণের বেসিক থেকে খুঁটিনাটি আলোচনা।আজ আমরা আলোচনা করতে চলেছি "পশ্চিমবঙ্গ মধ্যশিক্ষা পর্ষদ"(West Bengal Board of Secondary Education) প্রদত্ত পঞ্চম শ্রেণীর মডেল অ্যাক্টিভিটি টাস্ক, গণিত,পার্ট-৩(Model Activity Task, Class-V, Math, Part -3)এর সমাধান নিয়ে।
ছাত্র-ছাত্রীদের প্রতি অনুরোধ তোমরা অতি সত্ত্বর খাতায় এর উত্তর লিখে নিজের বিদ্যালয়ে ধার্য সময়ে শিক্ষক মহাশয়ের নিকট তা জমা করবে ।
আজ আমরা 2021 এর Class 5 ,Math Part 3 এর Model Activity Task এর সমস্ত প্রস্নের উত্তর নিয়ে সুস্পষ্ট আলোচনা করলাম ।আগামী পোষ্টে আমরা আগত Model Activity Task এর সমাধান নিয়ে যথা শীঘ্রই হাজির হবো । তবে চলো আমরা বিষয়ের গভীরে প্রবেশ করি । New Model Activity Task Class 5 Math
Class 5 Math Model Activity Task
গণিত
Part-3
নিচের প্রশ্নগুলির উত্তর লেখো :
১. বহুমুখী উত্তর ধর্মী প্রশ্ন (MCQs)
:
ক) ৬-এর স্থানীয় মান ৬ x ১০০ এই স্থানীয় মানযুক্ত সংখ্যাটি হলো
(a) ৬০৩০
(b) ০৬৩০
(c) ০৩৬০
(d) ০৩০৬
উত্তর- (b) ০৬৩০
খ) নীচের সংখ্যা
চারটির ক্ষুদ্রতম সংখ্যাটি হলো-
(a) ১৮২৩২৭
(b) ১৮৮০৮৪
(c) ১৮০৭৭৬
(d) ১৮৬০৩০
উত্তর- (c) ১৮০৭৭৬
গ) ১৩৮ x ২৯=
(a) ১৩৮ x ২ + ১৩৮ x ৯
(b) ১৮৩ x ২ + ১৮৩ x ৯
(c) ১৩৮ x ৯ + ১৩৮ x ২০
(d) ১৮৩ x ৯ + ১৮৩ x ২০
উত্তর- (c) ১৩৮ x ৯ + ১৩৮ x ২০
ঘ) নিচের যে
দুটি সংখ্যার সাধারণ উৎপাদক ৩ সেই সংখ্যা দুটি হল-
(a) ২১ ও ১০
(b) ১৭ ও ২৪
(c) ১৮ ও ১৪
(d) ১২ ও ১৫
উত্তর- (d) ১২ ও ১৫
২. সত্য/
মিথ্যা লেখো:
(ক) দুটি মৌলিক সংখ্যার গ.সা.গু সংখ্যা দুটির প্রত্যেকটি
থেকে বড়ো হবে।
উত্তর-
মিথ্যা।
(খ) দশ হাজার এক সংখ্যাটিতে দশকের ঘরের অঙ্কটির স্থানীয় মান
১০।
উত্তর-
মিথ্যা।
(গ) ২২৫ টাকা মূল্যের ২২১ টি বইয়ের দাম (২২৫+২২১)টাকা।
উত্তর-
মিথ্যা।
(ঘ) সবচেয়ে বড় সংখ্যা ১১ দিয়ে ৫৫ ও ২২ বিভাজ্য।
উত্তর- সত্য।
৩. স্তম্ভ
মেলাও:
<
| ক |
খ |
|
| ২৫০২৫০ |
১০০০০, ১০০০০, ১০০০, ১০০০, ১০০০, ১০০০, ১০০০, ১০০, ১০০, ১০, ১০, ১০, ২০, ১০ |
| ২৫২৫০ |
পঁচিশ হাজার পাঁচ শত কুড়ি |
|
| ২৫৫২০
| ২০০০০০ + ৫০০০০ + ২০০ + ৫০ |
|
উত্তর-
<
| ক |
খ |
|
| ২৫০২৫০ |
২০০০০০ + ৫০০০০ + ২০০ +৫০ |
| ২৫২৫০ |
১০০০০, ১০০০০, ১০০০, ১০০০, ১০০০, ১০০০, ১০০০, ১০০, ১০০, ১০, ১০, ১০, ১০, ১০ |
|
| ২৫৫২০
| পঁচিশ হাজার পাঁচ শত কুড়ি |
|
৪. (ক) তুমি
তোমার মায়ের থেকে ২৫ বছরের ছোটো। বর্তমানে তোমার মায়ের বয়স ৩৬ বছর । দুই বছর পর
তোমাদের বয়সের সমষ্টি কত হবে?
উত্তর- আমি
আমার মায়ের থেকে ২৫ বছরের ছোটো।
বর্তমানে
আমার মায়ের বয়স ৩৬ বছর।
বর্তমানে
আমার বয়স = (৩৬ - ২৫) বছর = ১১বছর
বর্তমানে
আমার এবং মায়ের বয়সের সমষ্টি = ( ১১ + ৩৬)
বছর = ৪৭ বছর।
অতএব, দুই বছর পরে
আমার এবং মায়ের বয়সের সমষ্টি হবে = (৪৭ + ৪) বছর
= ৫১ বছর।
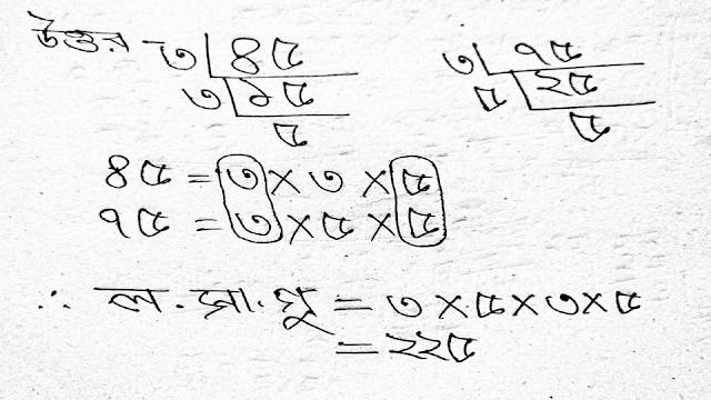
(খ) মৌলিক উৎপাদকের সাহায্যে ল. সা. গু নির্ণয়
করো : ৪৫ , ৭৫
আমাদের পোষ্টটী মনোযোগ সহকারে পড়ার জন্য তোমাদের অশেষ ধন্যবাদ । তোমারা অবশ্যই বন্ধুদের সাথে এই পোষ্ট শেয়ার করে তাদের ও কষ্ট লাঘব করতে পারো । উপরিউক্ত কোনো প্রশ্ন ও উত্তর নিয়ে সমস্যা থাকলে আমাদের Comment Section -এ জানাতে ভুলো না । আমারা অবশ্যই তা সমাধানে যত্নবান ও সচেষ্ট থাকব । ধন্যবাদ।
🥇🏆💐
ReplyDeleteThanks
DeleteThank You sar 💐🥇
ReplyDeleteThanks 👍
ReplyDelete